Revista Mexicana de Ingeniería Química


    Vol. 25, No. 1(2026)    

 

REVISTA MEXICANA DE INGENIERIA QUIMICA, Vol. 25, Número 1, Año 25, enero - abril de 2026, es una publicación cuatrimestral de la Universidad Autónoma Metropolitana a través de la Unidad Iztapalapa, División de Ciencias Básicas e Ingeniería, Departamento de Ingeniería de Procesos e Hidráulica. Prolongación Canal de Miramontes, número 3855, colonia Rancho Los Colorines, alcaldía Tlalpan, código postal 14386, Ciudad de México y Av. San Rafael Atlixco No. 186. Col. Vicentina, Delegación Iztapalapa, C.P. 09340. México, D.F. Tel. 58044600. Página electrónica de la revista: www.rmiq.org y dirección electrónica: amidiq@xanum.uam.mx. Editor Responsable: Dr. Mauricio Sales Cruz. Certificado de Reserva de Derechos al Uso Exclusivo de Título No. 04-2008-091511500800-203, ISSN 2495-8472, ambos otorgados por el Instituto Nacional del Derecho de Autor. Responsable de la última actualización de este número: Dr. Francisco J. Valdés Parada, Universidad Autónoma Metropolitana, Unidad Iztapalapa, Departamento de I.P.H., Av. San Rafael Atlixco No. 186. Col. La Vicentina, Iztapalapa. C.P. 09340. México, D.F. Fecha de última actualización: 10 de abril de 2026. Tamaño del archivo: 175MB.

Las opiniones expresadas por los autores no necesariamente reflejan la postura del editor de la publicación. Queda estrictamente prohibida la reproducción total o parcial de los contenidos e imágenes de la publicación sin previa autorización de la Universidad Autónoma Metropolitana.

 


Download the entire issue



Food engineering


 

Valorization of dehydrated broccoli agroindustrial residues

J.E. Botello-Álvarez, B. Ríos-Fuentes, M.C.I. Pérez-Pérez, G. Rico-Baeza, N.L. Flores-Martínez, L. Fausto-Castro

PDF

 

Alim26644

 

Amylases from malted barley (Hordeum vulgare) seeds separated by aqueous two-phase extraction

G. Vega-Ramírez, S. Valle-Guadarrama, B. E. Hernández-Rodríguez, O. Sandoval-Castilla

PDF

 

Alim26667

 

Comparison of the physicochemical, morphostructural and thermogravimetric characteristics of starch extracted from cuajinicuil (Inga jinicuil) seeds from three regions of the State of Veracruz, Mexico

C.A. Roldán-Cruz, A. Martínez-Velasco, G. Blasco-López, D. Trujillo-Ramírez, E.I. Gasperín-Rodríguez, C. Palmeros-Exsome

PDF

 

Alim26674

 

Influence of extrusion conditions and microwave expansion on the mechanical, physical, and structural properties of third-generation snacks made with alternative flours using a twin-screw extruder

D. Neder-Suárez, D. Lardizábal-Gutiérrez, J. de J. Zazueta-Morales, J.A. Vázquez-Rodríguez, C. Amaya-Guerra, C.O. Meléndez-Pizarro, M. Marquez-Rivera, L.R. Hernández-Ochoa, A. Quintero-Ramos

PDF

 

Alim26706

 

Impact of supplementing blue and white corn tortillas with huauzontle flour on the nutritional, rheological, structural properties and in vitro digestibility

D.I. López-Monterrubio, E.J. Vernon-Carter, C. Lobato-Calleros, J. Álvarez-Ramírez

PDF

 

Alim26724

Biotechnology


 

Sodium polyacrylate: a component of disposable diapers that delays mycelial growth of edible mushrooms during culture in vitro

G. Arango-Escorcia, F. Rodríguez-Evangelista, G. Valencia del Toro, M. E. Garín-Aguilar, R.M. Espinosa-Valdemar, R. Villanueva-Arce, M. O. Franco-Hernández

PDF

 

Bio26635

 

Soybean-based media for the cultivation of Bacillus subtilis 105 as a bio-fungicide against Sclerotinia sclerotiorum

L.G. Sarmiento-López, M. López-Meyer, I.E. Maldonado-Mendoza, G. Sepúlveda-Jiménez, M. Rodríguez-Monroy

PDF

 

Bio26680

 

Crude protease of Bacillus smithii AP67 isolated from the El Chichón volcano crater lake as a potential eco-friendly alternative for enzymatic dehairing in the leather industry

A. Peña-Blassi, J. A. Montes-Molina, N. Ruiz-Lau, L. M. C. Ventura Canseco, P. E. Álvarez-Gutiérrez, V. M. Ruíz-Valdiviezo

PDF

 

Bio26710

Environmental engineering


 

Synergistic effect of high hydrostatic pressure, hydrogen peroxide, and a Trametes hirsuta BM-2 enzymatic extract on polyphenol release from Sargassum spp.

M. E. González-Muñoz, K. D. Chikani-Cabrera, E. I. España-Gamboa, P. Machado Bueno-Fernandes, R. Tapia-Tussell, L. Alzate-Gaviria

PDF

 

IA26665

Energy engineering


 

A geochemical diagnostic tool for enhanced oil recovery in a Low Salinity Waterflooding process in carbonates

J.M. Carmona-Pérez, M.A. Díaz-Viera, E. Serrano-Saldaña, B. Carreón-Calderón, M. Coronado, M.P. Andersson

PDF

 

Ener26700

Materials


 

Analysis of the thermodegradation of sugar cane residues for their revalorization in the manufacture of charcoal: Comparative study between varieties CP-72-2086, MEX-69-290 and sugar cane bagasse from a sugar mill

W.E. Sosa-González, R.J. Palí-Casanova, J. Bautista-Ortega, M.A. Yam-Cervantes, N.A. Pacheco-López, L. A. Dzul-López, J. Arreola-Enríquez

PDF

 

Mat26673

 

Towards low-carbon cement: evaluating ferrochrome and steel slags as supplementary cementitious materials

M. Hoxhaj, S. Vishkulli, I. Boci, S. Vito, Xh. Hyseni

PDF

 

Mat26686


Process engineering


 

Modeling the green extraction of bioactive compounds from Pilangkasa fruit (Ardisia elliptica Thunb) through empirical and machine learning approaches

B.T. Vinh, L.T.K. Loan, C. Mansamut, N.V. Tai

PDF

 

Proc26641

 

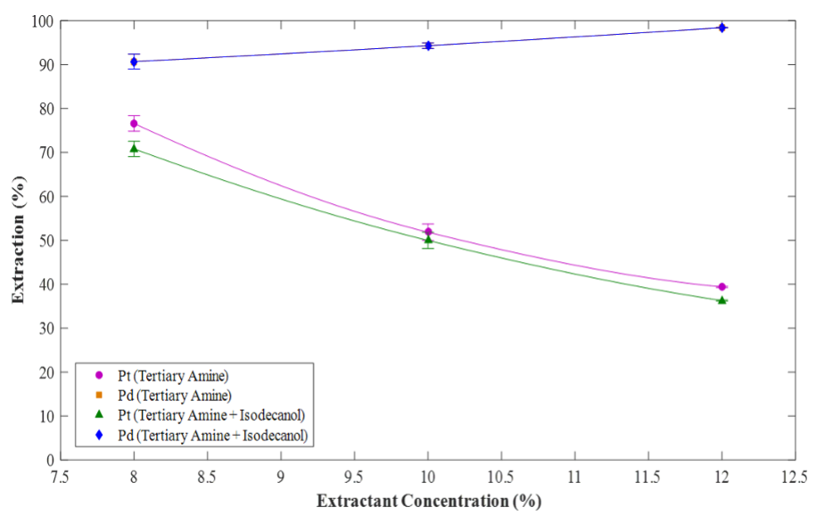
Palladium solvent extraction process using a tertiary amine and isodecanol

G. Martínez-Ballesteros, J. L. Valenzuela-García, P. Guerrero-Germán, B. Valdez-Salas, R. Martínez-Peñuñuri

PDF

 

Proc26676

 

Dehydration of light crude oil using a semi-organic demulsifier derived from the aqueous extract of Mangifera indica L.

F. de J. Solana-Neri, L.M. Pérez-Gutiérrez, A.G. Vital-Ocampo, D. de J. Montoya-Hernández, M. del C. Milán-Cárdenas

PDF

 

Proc26750

Polymers


 

A model for describing experimental data from polymerization reactions of binary mixtures of monomers

E.Y. Calvillo-Muñoz, N.V. Likhanova, I.V. Lijanova, F. de J. Guevara-Rodríguez

PDF

 

Poly26662

Simulation and control


 

Development of a low-cost virtual instrumentation prototype for coffee roasting based on the Internet of Things (IoT)

O. E. Guijarro-Rubio, D. R. Vinocunga-Pillajo, J. G. Padilla-Padilla, J. H. Granja-Ponce, O. Del Real, E. Guardado-Yordi, J. P. Pico-Poma, D. A. Sarabia-Guevara, A. Pérez-Martínez

PDF

 

Sim26663

 

Numerical-experimental study of a solar dryer using Computational Fluid Dynamics (CFD) for its optimization

A. Tlatelpa-Becerro, L. Castro, M. Rebolledo Abri, I.S. Avilés-López, M. Navarrete-Procopio, V.M. Zezatti-Flores, E.O. Castañeda Magadán

PDF

 

Sim26720